新品 | 世纪金光推出第二代1200V SiC MOSFET器件
来源:宇泉半导体网站 发布时间:2022-10-08

世纪金光第二代1200V SiC MOSFET器件【CGE2M120080】

北京世纪金光半导体(以下简称“世纪金光”)是一家专注于碳化硅功能材料和功率器件研发与生产的国家级高新技术公司,深耕第三代半导体产业15年。2022年9月26日,世纪金光推出新款SiC 功率器件——第二代1200V 80mΩ SiC MOSFET的器件CGE2M120080,该系列具有更低导通电阻,高开关速度,低开关损耗等特性,主要用于开关电源、电机驱动器、电动汽车OBC、充电桩、光伏逆变等领域。

表1 CGE2M120080 SiC MOSFET器件主要规格参数
新产品单位面积导通电阻RDS(ON)相对于上一代产品下降了大约53%,栅总电荷量下降52%,使“漏源导通电阻×栅漏电荷(RDS(ON)×Qgd)”降低了大约78%,有效提升开关速度,从而使开关损耗减小超过20%,整体性能表现居先进水平。
此产品为世纪金光第二代MOSFET平台下首款产品,我们后续将继续扩展SiC MOSFET功率器件产品线,开发更多电压电流规格的产品,提升器件性能、降低开关损耗,提升设备效率,持续地为客户提供更优质的产品。
![]()
1、显著改善导通电阻和RDS(on)*Qgd (FOM)
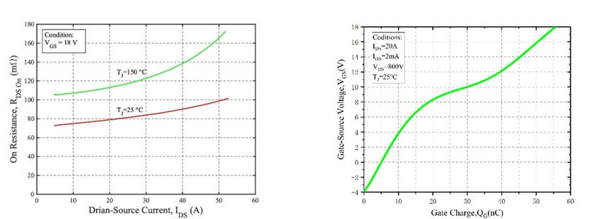
与第一代产品相比,通过沟道及JFET优化技术,单位面积导通电阻RDS(on)降低了大约53%,主要应用电流比导通电阻均达到3.5mΩ·cm2以下; RDS(on)*Qgd下降78%,约为1500 mΩ·nC;栅总电荷量下降52%,低至54.5nC,为实现更高速应用奠定基础。

图1新一代产品导通电阻和FOM对比图

图2 RDS(on)-ID曲线图 图3 栅总电荷曲线图
2、开关时间减小,速度提升
第一代和第二代SiC MOSFET开关曲线如下。第二代产品开关时间减小,从而使开关损耗减小超过20%。
图4 新一代产品开通/关断延迟时间对比图
3、温度稳定性提高,降低散热压力
第二代SiC MOSFET器件,改进设计工艺,优化器件封装,在温度稳定性方面,尤其是高温状态下,器件参数变化更小。有效降低应用中热设计难度,减轻散热压力。

图5 导通电阻随温度变化曲线
4、体二极管导通压降下降,续流能力增强
采用二极管增强结构设计,有效降低体二极管导通压降,较前一代导通压降下降超过1V。感性负载下提供更强的电流续流能力,有效降低能量损耗,提高系统能量利用率。

图6 不同栅极电压下导通压降随电流变化曲线
![]()

下一篇:学习二十大 奋进新征程


